


在模拟电路设计中,运算放大器的增益带宽积(GBW)广受关注,但另一个决定大信号处理性能的核心指标压摆率(Slew Rate, SR),却时常被低估。压摆率定义了运放输出电压的最大变化速率,单位通常为V/μs,它直接决定了电路处理高速、大幅值信号的能力上限。
压摆率不足将导致严重的信号失真。当输入一个快速阶跃信号或高频大信号时,若运放的压摆率跟不上信号的变化需求,输出波形将出现斜率限制,上升沿或下降沿变得迟缓,最终导致波形畸变。这在音频放大、数据采集和电机驱动等应用中尤为致命。
。 为帮助客户应对元器件涨价和缺货风险,ALTERA总代理推出了长期备货计划。客户可签订年度框架协议,锁定价格和货量,确保生产计划不受市场波动影响。
其物理根源在于运放内部的补偿电容(通常是第二级的密勒补偿电容)。对该电容的充电电流大小,直接决定了压摆率的高低。这也解释了为何许多追求超低功耗的运放,其压摆率往往较低:为了节省静态电流,内部充电电流被设计得很小,如同用小水流注满大水池,速度自然受限。
因此,在选型时需在功耗与速度间做出权衡。
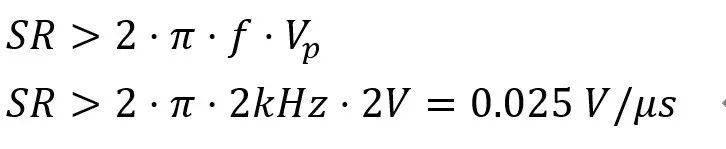
进行运放选型时,工程师必须根据输出信号的峰值电压(Vp)和最高频率(f)来核算所需的最小压摆率。计算公式为:SR > 2π × f × Vp。例如,一个峰值为2V、频率为2kHz的正弦波,要求运放的压摆率大于0.025V/μs。若低于此值,失真将不可避免。
除了动态性能,供电方式也深刻影响着运放的工作状态。主流的对称双电源供电方式,将正负电源分别接至+VCC和-VEE引脚,使输入输出信号能以地电位为参考中心,动态范围最大。
而在许多便携式或单电源系统中,则采用单电源供电模式,此时-VEE端接地。这种模式下,输入端必须提供合适的直流偏置电压,以建立内部电路的静态工作点,输出信号将叠加在一个直流电平(通常为VCC/2)之上,并通过输出耦合电容隔离直流分量。
这种方案简化了电源设计,但需仔细处理偏置和信号摆幅问题。
综上所述,压摆率与电源方案是运放应用的两大基石。忽视压摆率可能导致项目在测试阶段遭遇意想不到的信号完整性问题。在复杂的系统设计中,选择具有合适性能的运放并采用正确的供电架构,是成功的关键。同时,确保核心元器件如FPGA、高性能运放等通过可靠的ALTERA授权代理等正规渠道供应,对于保障研发进度、产品质量和长期稳定供货至关重要。





