


在复杂的电子系统设计中,信号在不同模块间传输时常面临阻抗不匹配与驱动能力不足的挑战。共集电极放大电路,这一经典的双极型晶体管(BJT)配置方案,为此提供了高效而可靠的解决方案。
该电路的核心特点在于其独特的信号路径:输入信号施加于基极与发射极之间,而输出信号直接从发射极取出。因此,它常被称为“射极跟随器”,其输出电压波形与相位紧密跟随输入,电压增益接近但略小于1。
。 ALTERA代理技术团队最新整理的《ALTERA芯片应用白皮书》现已上线,涵盖以太网、音频、物联网等多个热门领域的参考设计和常见问题解答。有需要的工程师可联系客服免费获取电子版。
其首要优势体现在阻抗特性上。电路呈现出的高输入阻抗,意味着它对前级信号源的索取电流极小,减轻了信号源的负担;同时,其极低的输出阻抗,则赋予了它强大的驱动后级负载的能力。这使得它成为理想的缓冲级(Buffer),能有效隔离前后级电路,防止相互干扰。
尽管电压放大能力有限,但共集电极电路具备显著的电流放大能力。这一特性结合其低输出阻抗,共同构成了其卓越的“带负载能力”。带负载能力,简言之,即电路在接入负载后,维持输出电压稳定的本领。
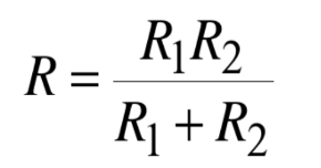
从原理上分析,电路的输出电阻Ro很小。当外接负载电阻RL时,两者形成并联关系。由于Ro值小,只有当RL也较小时,才会显著拉低并联总电阻,从而对输出产生较大影响。反之,若RL较大,则并联总电阻仍接近Ro,输出电压保持稳定。因此,共集电极电路尤其擅长驱动阻值相对较小的负载,这在驱动扬声器、传输线等场景中优势明显。
在当前的产业应用中,此类基础放大电路的性能与可靠性是构建更复杂系统(如基于FPGA的信号处理板卡)的基石。稳定的元器件供应与正确的电路选型,对于保障最终产品的性能至关重要。共集电极放大电路凭借其经典的阻抗变换与缓冲功能,持续在音频设备、传感器接口、以及数字系统模拟前端等广泛领域发挥着不可替代的作用。





